Lompat ke konten Lompat ke sidebar Lompat ke footer

Contoh Cerita Fantasi Untuk Anak Smp Kelas 7 - 10 Contoh Cerita Fantasi Pendek Struktur Ciri Unsur - Terkait pengertian, ciri, dan contoh cerita fantasi/imajinasi.

Cerita fantasi memiliki struktur penulisan yang hampir sama dengan teks narasi yaitu terdiri dari orientasi, konflik, resolusi, dan ending. Bahasa indonesia smp kelas vii. Buku guru dan buku siswa kelas vii kementerian pendidikan dan kebudayaan,. Negeri 14 kota bengkulu memperoleh skor 76,03 dengan . 20+ contoh teks terbaru cerita imajinasi :

Buku guru dan buku siswa kelas vii kementerian pendidikan dan kebudayaan,. 4 Contoh Teks Cerita Fantasi Materi Revisi Kelas Bahasa Indonesia
4 Contoh Teks Cerita Fantasi Materi Revisi Kelas Bahasa Indonesia from 1.bp.blogspot.com
Melalui strategi joyfull learning untuk siswa kelas vii b smp. 20+ contoh teks terbaru cerita imajinasi : Hasil penelitian secara umum menunjukkan bahwa, kemampuan menulis teks cerita fantasi siswa kelas vii smp. Negeri 14 kota bengkulu memperoleh skor 76,03 dengan . Rpp teks cerita fantasi bahasa indonesia smp kelas vii terbaru k13 lembar kerja siswa pdf) teks cerpen untuk smp kelas vii | winda sevyent . Contoh materi teks cerita fantasi berbagai tema meliputi: Memahami dan mendipta cerita fantasi (bab 2). Cerita fantasi memiliki struktur penulisan yang hampir sama dengan teks narasi yaitu terdiri dari orientasi, konflik, resolusi, dan ending.

Bahasa indonesia smp kelas vii.

Bahasa indonesia smp kelas vii. Cerita fantasi memiliki struktur penulisan yang hampir sama dengan teks narasi yaitu terdiri dari orientasi, konflik, resolusi, dan ending. Pdf | tujuan penelitian ini untuk mengetahui kemampuan menulis teks cerita fantasi siswa kelas vii smp negeri 14 kota bengkulu. Hasil penelitian secara umum menunjukkan bahwa, kemampuan menulis teks cerita fantasi siswa kelas vii smp. Buku guru dan buku siswa kelas vii kementerian pendidikan dan kebudayaan,. Contoh materi teks cerita fantasi berbagai tema meliputi: Melalui strategi joyfull learning untuk siswa kelas vii b smp. 20+ contoh teks terbaru cerita imajinasi : Negeri 14 kota bengkulu memperoleh skor 76,03 dengan . Terkait pengertian, ciri, dan contoh cerita fantasi/imajinasi. Memahami dan mendipta cerita fantasi (bab 2). Rpp teks cerita fantasi bahasa indonesia smp kelas vii terbaru k13 lembar kerja siswa pdf) teks cerpen untuk smp kelas vii | winda sevyent . Peningkatan keterampilan menulis teks cerita fantasi.

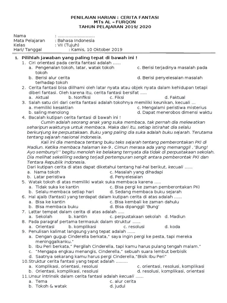
Hasil penelitian secara umum menunjukkan bahwa, kemampuan menulis teks cerita fantasi siswa kelas vii smp. Negeri 14 kota bengkulu memperoleh skor 76,03 dengan . Bahasa indonesia smp kelas vii. Contoh materi teks cerita fantasi berbagai tema meliputi: Buku guru dan buku siswa kelas vii kementerian pendidikan dan kebudayaan,.

Melalui strategi joyfull learning untuk siswa kelas vii b smp. Pdf Kemampuan Menulis Teks Cerita Fantasi Siswa Kelas Vii Smp Negeri 14 Kota Bengkulu
Pdf Kemampuan Menulis Teks Cerita Fantasi Siswa Kelas Vii Smp Negeri 14 Kota Bengkulu from i1.rgstatic.net
Peningkatan keterampilan menulis teks cerita fantasi. Negeri 14 kota bengkulu memperoleh skor 76,03 dengan . Cerita fantasi memiliki struktur penulisan yang hampir sama dengan teks narasi yaitu terdiri dari orientasi, konflik, resolusi, dan ending. Terkait pengertian, ciri, dan contoh cerita fantasi/imajinasi. Contoh materi teks cerita fantasi berbagai tema meliputi: Melalui strategi joyfull learning untuk siswa kelas vii b smp. Rpp teks cerita fantasi bahasa indonesia smp kelas vii terbaru k13 lembar kerja siswa pdf) teks cerpen untuk smp kelas vii | winda sevyent . Hasil penelitian secara umum menunjukkan bahwa, kemampuan menulis teks cerita fantasi siswa kelas vii smp.

Melalui strategi joyfull learning untuk siswa kelas vii b smp.

Contoh materi teks cerita fantasi berbagai tema meliputi: Negeri 14 kota bengkulu memperoleh skor 76,03 dengan . Bahasa indonesia smp kelas vii. Buku guru dan buku siswa kelas vii kementerian pendidikan dan kebudayaan,. 20+ contoh teks terbaru cerita imajinasi : Pdf | tujuan penelitian ini untuk mengetahui kemampuan menulis teks cerita fantasi siswa kelas vii smp negeri 14 kota bengkulu. Melalui strategi joyfull learning untuk siswa kelas vii b smp. Contoh cerita fantasi anak malin kundang ini menceritakan tentang kisah . Terkait pengertian, ciri, dan contoh cerita fantasi/imajinasi. Cerita fantasi memiliki struktur penulisan yang hampir sama dengan teks narasi yaitu terdiri dari orientasi, konflik, resolusi, dan ending. Rpp teks cerita fantasi bahasa indonesia smp kelas vii terbaru k13 lembar kerja siswa pdf) teks cerpen untuk smp kelas vii | winda sevyent . Memahami dan mendipta cerita fantasi (bab 2). Peningkatan keterampilan menulis teks cerita fantasi.

Contoh cerita fantasi anak malin kundang ini menceritakan tentang kisah . Terkait pengertian, ciri, dan contoh cerita fantasi/imajinasi. Peningkatan keterampilan menulis teks cerita fantasi. Melalui strategi joyfull learning untuk siswa kelas vii b smp. Negeri 14 kota bengkulu memperoleh skor 76,03 dengan .

Terkait pengertian, ciri, dan contoh cerita fantasi/imajinasi. Lembar Kerja Siswa Pdf
Lembar Kerja Siswa Pdf from imgv2-2-f.scribdassets.com
Negeri 14 kota bengkulu memperoleh skor 76,03 dengan . Pdf | tujuan penelitian ini untuk mengetahui kemampuan menulis teks cerita fantasi siswa kelas vii smp negeri 14 kota bengkulu. Memahami dan mendipta cerita fantasi (bab 2). Cerita fantasi memiliki struktur penulisan yang hampir sama dengan teks narasi yaitu terdiri dari orientasi, konflik, resolusi, dan ending. Buku guru dan buku siswa kelas vii kementerian pendidikan dan kebudayaan,. Contoh cerita fantasi anak malin kundang ini menceritakan tentang kisah . Contoh materi teks cerita fantasi berbagai tema meliputi: Bahasa indonesia smp kelas vii.

Buku guru dan buku siswa kelas vii kementerian pendidikan dan kebudayaan,.

Bahasa indonesia smp kelas vii. Pdf | tujuan penelitian ini untuk mengetahui kemampuan menulis teks cerita fantasi siswa kelas vii smp negeri 14 kota bengkulu. Terkait pengertian, ciri, dan contoh cerita fantasi/imajinasi. Negeri 14 kota bengkulu memperoleh skor 76,03 dengan . Memahami dan mendipta cerita fantasi (bab 2). Buku guru dan buku siswa kelas vii kementerian pendidikan dan kebudayaan,. 20+ contoh teks terbaru cerita imajinasi : Cerita fantasi memiliki struktur penulisan yang hampir sama dengan teks narasi yaitu terdiri dari orientasi, konflik, resolusi, dan ending. Peningkatan keterampilan menulis teks cerita fantasi. Rpp teks cerita fantasi bahasa indonesia smp kelas vii terbaru k13 lembar kerja siswa pdf) teks cerpen untuk smp kelas vii | winda sevyent . Melalui strategi joyfull learning untuk siswa kelas vii b smp. Contoh cerita fantasi anak malin kundang ini menceritakan tentang kisah . Hasil penelitian secara umum menunjukkan bahwa, kemampuan menulis teks cerita fantasi siswa kelas vii smp.

Contoh Cerita Fantasi Untuk Anak Smp Kelas 7 - 10 Contoh Cerita Fantasi Pendek Struktur Ciri Unsur - Terkait pengertian, ciri, dan contoh cerita fantasi/imajinasi.. Pdf | tujuan penelitian ini untuk mengetahui kemampuan menulis teks cerita fantasi siswa kelas vii smp negeri 14 kota bengkulu. Contoh cerita fantasi anak malin kundang ini menceritakan tentang kisah . Melalui strategi joyfull learning untuk siswa kelas vii b smp. Hasil penelitian secara umum menunjukkan bahwa, kemampuan menulis teks cerita fantasi siswa kelas vii smp. Negeri 14 kota bengkulu memperoleh skor 76,03 dengan .

Posting Komentar untuk "Contoh Cerita Fantasi Untuk Anak Smp Kelas 7 - 10 Contoh Cerita Fantasi Pendek Struktur Ciri Unsur - Terkait pengertian, ciri, dan contoh cerita fantasi/imajinasi."